8.1 MOSFETs

8.1.1 nmos_3p3 (3.3V)

8.1.1.1 CV - Characteristics

CV - Characteristics CV - Characteristics

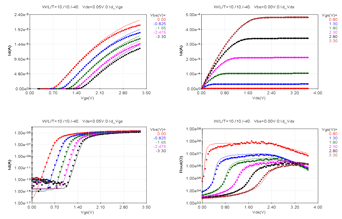
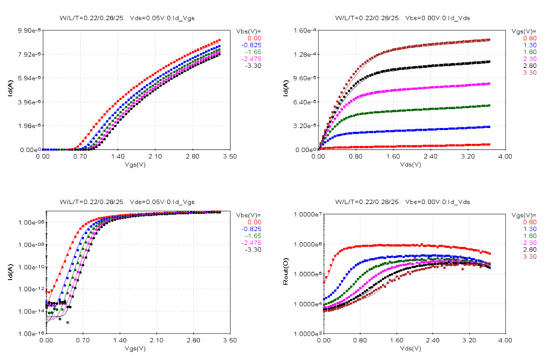
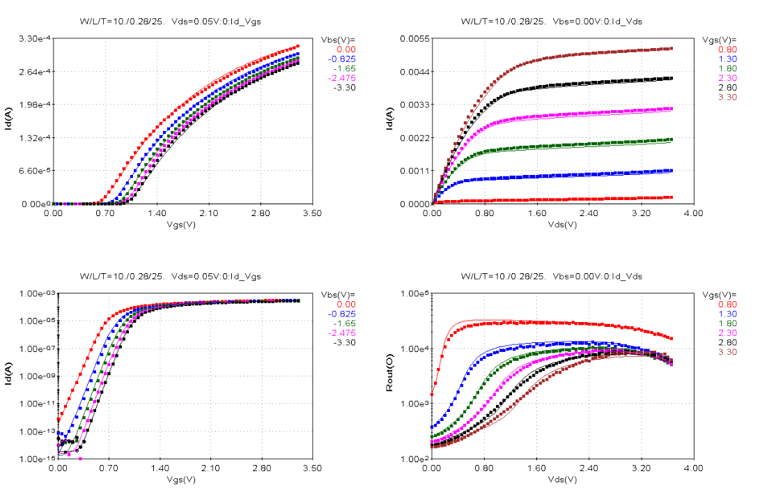
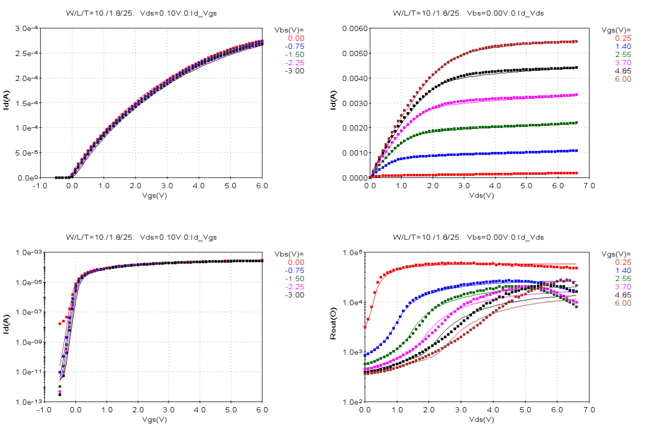
8.1.1.2 IV - Characteristics

IV - Characteristics IV - Characteristics IV - Characteristics IV - Characteristics IV - Characteristics IV - Characteristics IV - Characteristics IV - Characteristics IV - Characteristics IV - Characteristics IV - Characteristics IV - Characteristics

8.1.1.3 I/f Noise - Characteristics

I/f Noise - Characteristics

8.1.2 pmos_3p3 (3.3V)

8.1.2.1 CV - Characteristics

CV - Characteristics CV - Characteristics

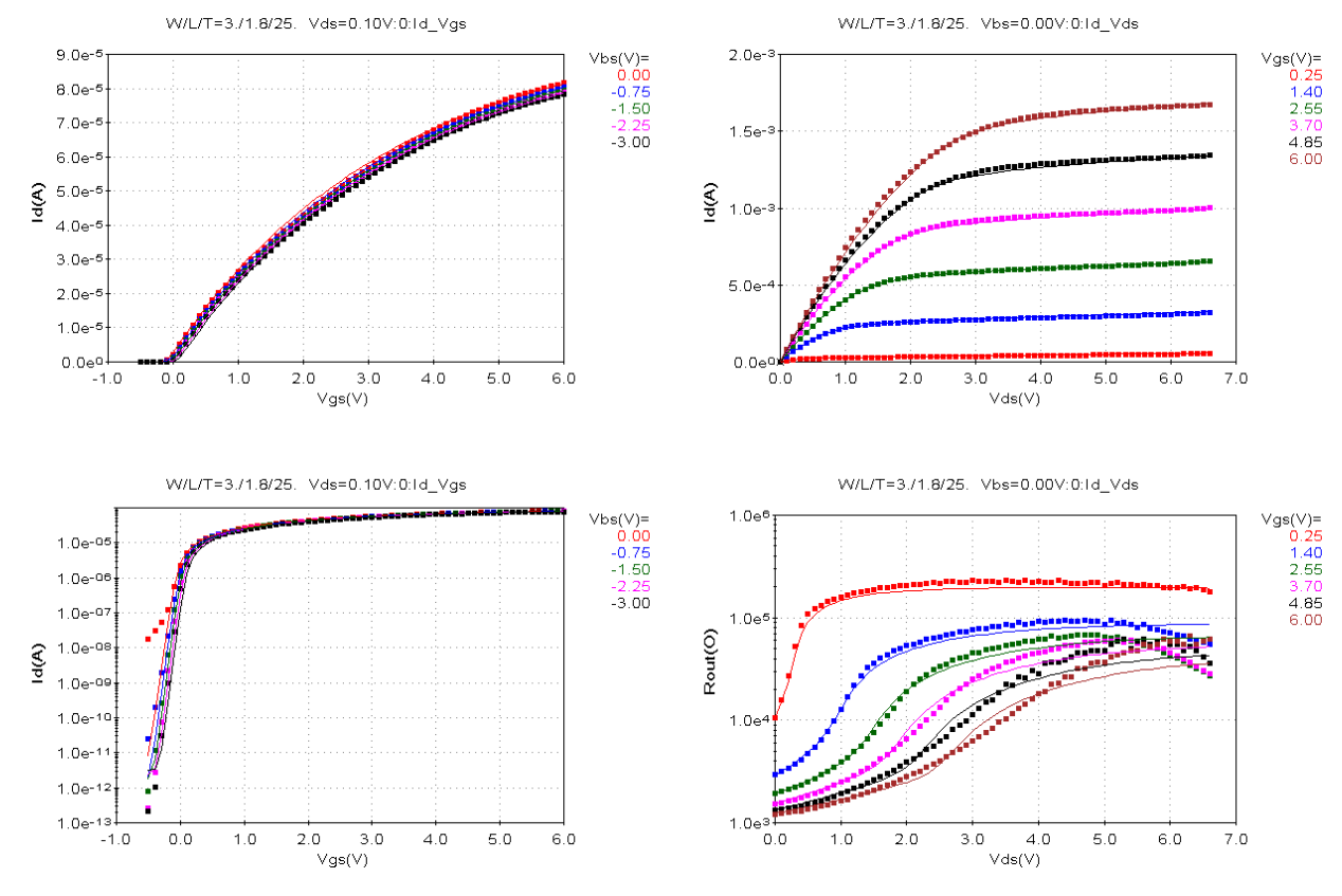
8.1.2.2 IV - Characteristics

IV - Characteristics IV - Characteristics IV - Characteristics IV - Characteristics IV - Characteristics IV - Characteristics IV - Characteristics IV - Characteristics IV - Characteristics IV - Characteristics IV - Characteristics IV - Characteristics

8.1.2.3 I/f Noise - Characteristics

I/f Noise - Characteristics

8.1.3 nmos_6p0 (6.0V)

8.1.3.1 CV - Characteristics

CV - Characteristics

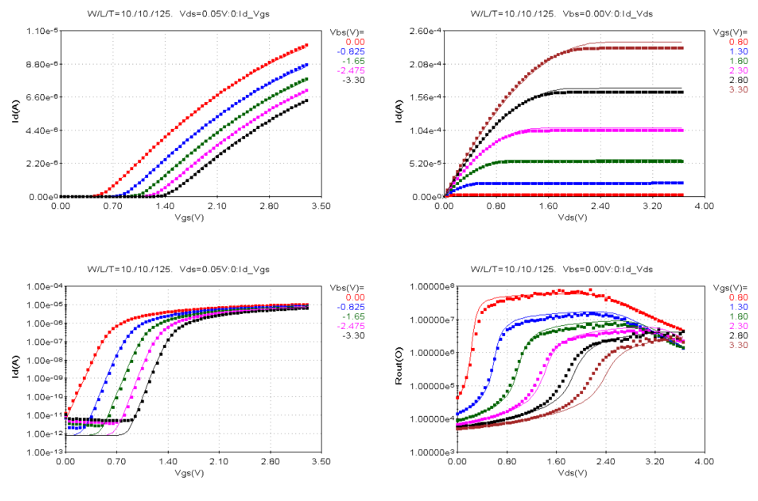
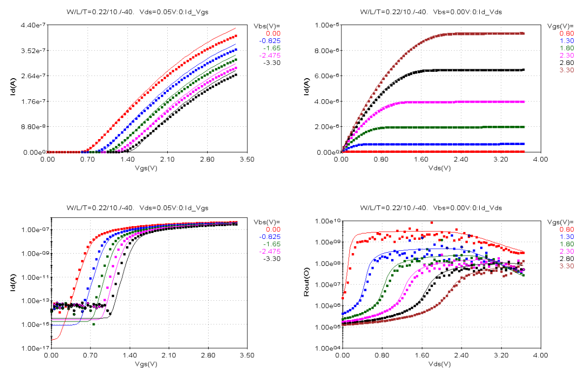
8.1.3.2 IV - Characteristics

IV - Characteristics IV - Characteristics ../../../_images/2_Correlation34.png IV - Characteristics

8.1.3.3 I/f Noise - Characteristics

I/f Noise - Characteristics

8.1.4 pmos_6p0 (6.0V)

8.1.4.1 CV - Characteristics

CV - Characteristics CV - Characteristics

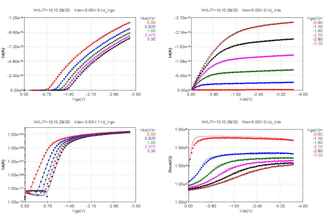
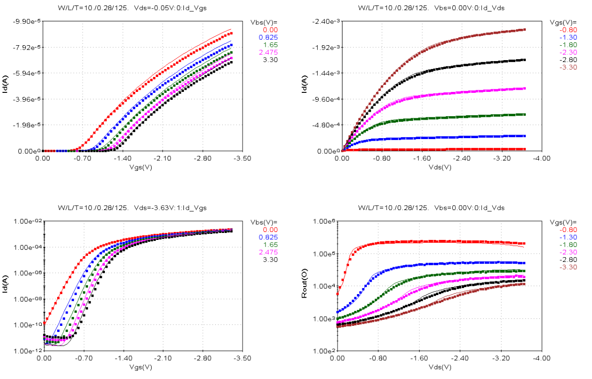
8.1.4.2 IV - Characteristics

IV - Characteristics IV - Characteristics IV - Characteristics IV - Characteristics

8.1.4.3 I/f Noise - Characteristics

I/f Noise - Characteristics

8.1.5 nmos_6p0_nat (6.0V)

8.1.5.1 IV - Characteristics

IV - Characteristics IV - Characteristics IV - Characteristics IV - Characteristics IV - Characteristics

8.1.5.2 I/f Noise - Characteristics

I/f Noise - Characteristics